Listen

Description

Let’s ‘tok Edutok

For the past two months or so I have spent a lot of time on TikTok to study the spread of misinformation there, especially around COVID-19 , and how the science communication community (EduTok, ScienceTok, MedTok) responded. Some of these efforts were made by journalists and scientists, but I think the most effective ones built a foundation around personality-driven content. Essentially, “If you like me, you’ll follow me; and if you follow me, you’ll listen to me.” I know that’s a double-edged sword, and it would take a whole chapter worth of word-count to write on that.

So, instead, I’ll share with you some of my favourite scicommers and educators on this app. This list excludes verified TikTokers with millions of followers (there are exceptions, such as being POC or queer) because they probably already get a lot of exposure. There are some social media metrics [in square brackets] for those who are interested in that kind of information. Malaysian TikTok has a void to be filled.

Astrophysics: Alexandra @astro_alexandra [NASA scientist, 190k]Biochem: Darrion Nguyen @lab_shenanigans [biochemist, verified, 500k]Bionics: Ryan Saavedra @pandabionics [prosthetics and biomech engineering, 370k]Biology: Kate Bredbenner @simplebiologist [started in October, 30k]Data science: Brian Xu @bri_xu [Linkedin data scientist, 150k]Engineering: Naia Butler-Craig @astronaia [NASA aerospace engineer, verified, 15k]Ethnobotany: Alexis Nikole @alexisnikole [410k followers, but still not verified]Art history: Mary McGillivray @_theiconoclass [“art history is just old memes,” 230k]Linguistics: Noah Elkins @mediumnoah [mostly English, 144k]Math: Kyne @onlinekyne [drag queen mathematician, verified, 800k followers]Medicine: Khalid Zalmay @doctor.khalid [family physician, 18k]Music theory: Dev Lemons @songpsych [verified, 615k]Programming: Anna Lytical @theannalytical [Google engineer, coding drag queen, 6k]Psychology: Dr Rachel Brenner @professorbren [professor, 50k] Science: Kate Bacon @kbacon [“what’s shakin’, bacon?,” 60k]

Negative scented candle reviews could be tied to COVID-19

Researcher Kate Petrova meticulously plotted Amazon reviews for scented candles against confirmed cases for COVID-19 and found a correlation (not causation!) between an increase in negative feedback and the rise in COVID-19 cases. “Skip! Little to no scent,” said one. “Useless candle,” said another. The loss of sense of smell is a symptom of the infection.

Barbara Smith for Business Insider:

In her findings, Petrova said the number of Amazon candle reviews that mentioned “lack of smell” grew from less than 2 per cent in January to nearly 6 per cent in November, and satisfaction with scented candles was dropping at a much faster rate than unscented candles.

Tone is hard to grasp online. Can tone indicators help? ($)

If you’re a Redditor, you’ve probably encountered posts that end with /s to denote sarcasm. That’s essential what tone indicators are.

Ezra Marcus for NYT:

Written language is an imperfect method for the messy, complex business of communication, where facial expressions, gestures and vocal tones transmit oceans of meaning and subtext — for those, at least, who can read them.

Words themselves offer none of that: In a famous study, Albert Mehrabian, a psychology professor at U.C.L.A., found that humans tend to perceive only a fragment of a speaker’s meaning through spoken words. Instead, he observed, most meaning is gleaned from body language and tone of voice.

In a text-only environment, how can we ever be certain other people understand what we mean when we post online?

There’s a list of tone indicators shared by a Twitter user. If you would like to go down the rabbit hole with me, read up on Poe’s Law, which can be found on Wikipedia, RationalWiki and Wired.

A WSJ op-ed about Jill Biden pairs virulent sexism with academic elitism

The WSJ article is full of irony. I won’t link the original article but here’s the gist of it: “Madame First Lady–Mrs Biden–Jill–kiddo,” it went, “Any chance you might drop the ‘Dr.’ before your name? ‘Dr. Jill Biden’ sounds and feels fraudulent, not to say a touch comic. Your degree is, I believe, an Ed.D., a doctor of education, earned at the University of Delaware through a dissertation with the unpromising title ‘Student Retention at the Community College Level: Meeting Students’ Needs.’ A wise man once said that no one should call himself ‘Dr.’ unless he has delivered a child.”

First of all, the origin of the title doctor was that it given to scholars as a license to teach. And Dr Jill Biden literally has a PhD in education. Secondly, it was only centuries later that physicians started using the title even if they do not have a PhD.

Cameron Peters for Vox:

[Joseph] Epstein, who has an honorary doctorate himself but lacks one earned by study, also digresses from his critique of Biden to complain about the proliferation of honorary degrees, which recognize noteworthy contributions to scholarship, culture, or society, but don’t imply academic achievement. This is apparently a hobbyhorse of his: According to Epstein, he once sent a “complaining email” to the president of Northwestern University after Stephen Colbert and Seth Meyers received honorary doctorates.

You don’t need a PhD to teach, nor do you need to graduate with anything to have learned something. This level of gatekeeping is absurd.

What I read, watch and listen to…

* I’m reading an article on The Guardian by Ariel Bogle, a journalist and disinformation analyst, on how podcasts are becoming the new medium of misinformation.

* I’m watching Kyne, drag queen and mathematician, explain how much we can trust statistics.

* I’m listening to my 2020 playlist for the last time this year (maybe). For the last five years, I’ve been making an annual playlist and naming them variations of PBR&B because they were originally “R&B jams smooth as butter and Pabst Blue Ribbon beer” (not sponsored), but you know, things have changed. Spotify Wrapped 2020 told me I’m just basic pop, even when my most popular playlist is the Top 100 Classicals and the artist I listen to the most, since I was a teen, is Nightwish.

Chart of the week

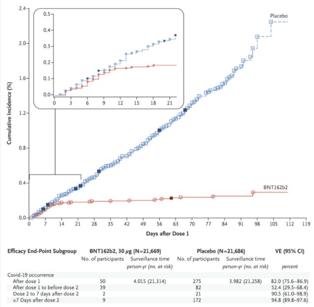
The most shared chart I’ve seen this week – at least in my online bubble – is the Pfizer-BioNTech vaccine trial paper published in The New England Journal of Medicine. Around 44,000 trial participants in 152 sites in six countries were split into two groups: one that received the Pfizer-BioNTech vaccine and one that did not. This is the number of positive cases after the first dose.

Transcript for audio

Two issues ago, I asked you for your favourite tongue twister. The most popular one seems to be Peter Piper picked a peck of pickled peppers. Honestly, I thought it would be she sells seashells by the seashore. So I thought it would be fun to return from my audio hiatus by sharing some of my favourite tongue twisters:

1. Friday's Five Fresh Fish Specials.2. I slit the sheet, the sheet I slit, and on the slitted sheet I sit.3. Red lorry yellow lorry.4. Lesser leather never weathered wetter weather better.5. Nine nice night nurses nursing nicely.

There are also a few that I spliced together, to work on similar sounds, such as:1. For f and th sounds: He thought of his self-worth every three or four free throws.2. And ch and sh sounds: Wash your watch and put a leash on your leech before your march in the marsh.3. And r and w sounds: Where is the rare rich witch who raves and waves and rips and whips right-leaning white supremacists.4. Or tl lateral plosions: The little metal kettle is in a gentle battle with a bottle.5. As well as dn nasal plosions: The modern maiden was hidden in Sweden before her sudden pardon.

I could share more if that’s what interests you. These examples are for consonants and lateral and nasal plosions but I have a lot more focusing on minimal pairs like sheep and ship, debt and date, and full and fool. Sometimes I like to challenge myself with the 1920 Pronunciation Test, also known as “Penelope Cholmondely” and the 1940 Announcer Test, also known as “One hen, two ducks.” If you’ve heard of them, let me know how you did. I obviously needed practice – but I didn’t do any of my warmups just so you know what these tongue twisters sound like without them for me and my tongue.

The Starting Block is a weekly collection of notes on science and society with an emphasis on data, democracy, and disinformation. Read the archives. Find me on Twitter, Instagram and Linkedin. Send questions, corrections and suggestions to tinacarmillia@substack.com.



Get full access to The Starting Block at tinacarmillia.substack.com/subscribe