Listen

Description

BUFFALO, NY — July 8, 2025 — A new #research paper was #published in Aging (Aging-US) Volume 17, Issue 6, on May 30, 2025, titled “Impact of waist-to-hip and waist-to-height ratios on physical performance: insights from the Longevity Check-up 8+ project.”

In this study, researchers led by first author Anna Maria Martone and corresponding author Elena Levati from the Fondazione Policlinico Universitario “Agostino Gemelli” IRCCS and Università Cattolica del Sacro Cuore found that adults with higher waist-to-hip and waist-to-height ratios tend to have poorer physical performance. These simple body shape measures emerged as important tools for assessing strength and mobility, which are essential for maintaining independence as people age.

The analysis included data from more than 10,000 Italian adults aged 18 to 98 years who participated in the Longevity Check-up 8+ project, a nationwide health initiative aimed at promoting healthy lifestyles and raising awareness of cardiovascular risks. Researchers measured participants’ waist-to-hip (WHR) and waist-to-height (WHtR) ratios and assessed their physical function using the five-repetition chair stand test, a standard evaluation of lower body strength and mobility.

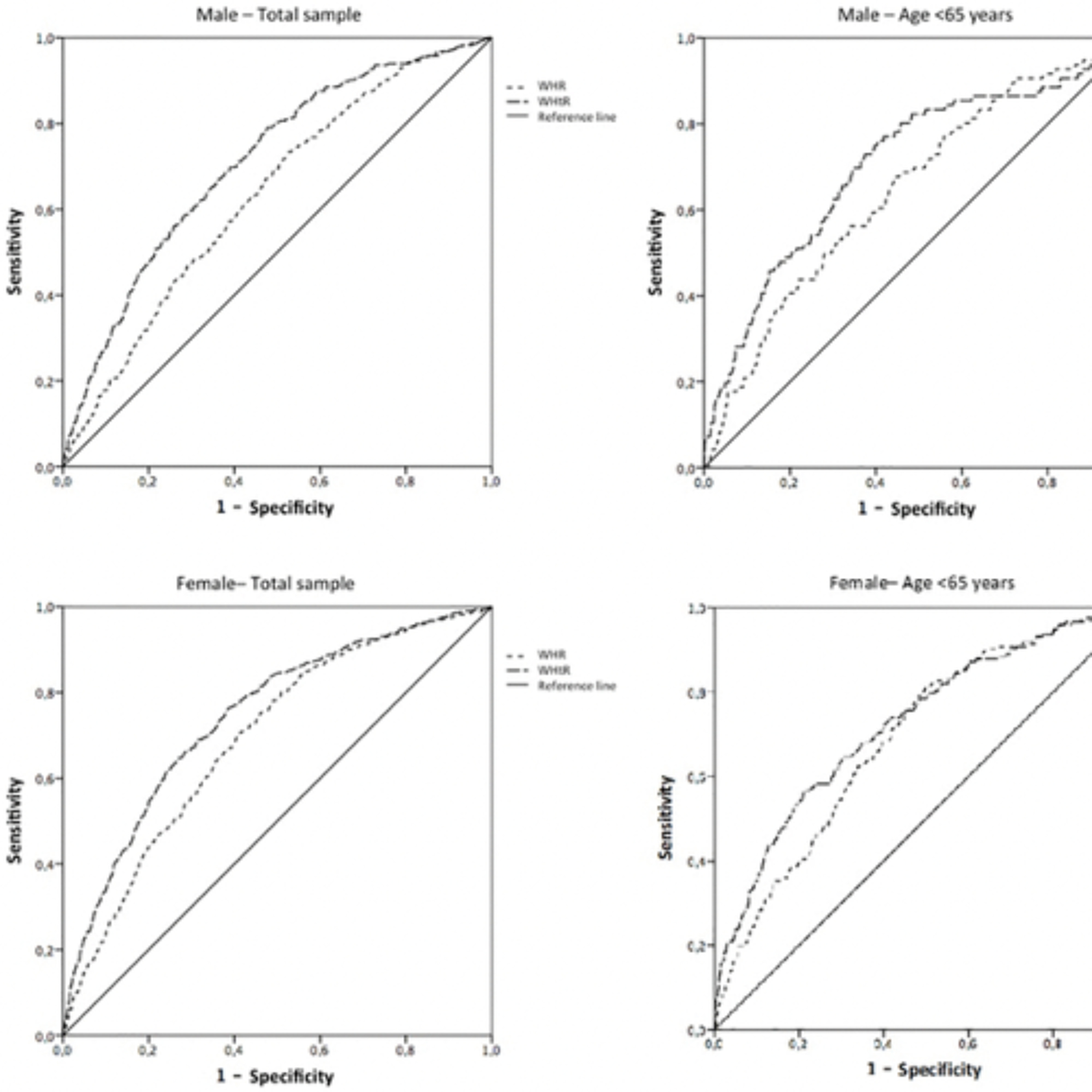
“Among 10690 participants (mean age 57.0 ± 14.8 y; 54% females), men exhibited higher WHR and WHtR and a higher prevalence of abnormal values (61% and 71%).”

The results showed that individuals with higher waist-to-hip and waist-to-height ratios took longer to complete the test, reflecting reduced physical function. Even after adjusting for lifestyle factors such as diet, exercise habits, and cardiovascular health, these ratios remained strongly linked to poorer performance. The waist-to-height ratio, in particular, proved to be a more effective predictor of physical ability across different age and gender groups.

These findings highlight how abdominal fat, already tied to serious health risks like heart disease and diabetes, may also impair mobility and independence as people age. Monitoring waist measurements could help identify individuals at risk of functional decline, offering a simple tool to support public health in aging populations.

The waist-to-height ratio is especially valuable because of its simplicity and practicality. Requiring only waist and height measurements, it can be easily used in clinical settings and community health programs to screen for potential mobility issues. Encouraging healthy waist sizes through balanced diets and regular exercise could help preserve physical performance and delay age-related decline. These findings may guide future prevention strategies. By identifying individuals at higher risk, healthcare professionals can implement targeted interventions to support long-term health and independence.

DOI - https://doi.org/10.18632/aging.206260

Corresponding author - Elena Levati - elena.levati01@icatt.it

Video short - https://www.youtube.com/watch?v=WqGlZ1qGZPI

Sign up for free Altmetric alerts about this article -
https://aging.altmetric.com/details/email_updates?id=10.18632%2Faging.206260

Subscribe for free publication alerts from Aging - https://www.aging-us.com/subscribe-to-toc-alerts

Keywords - aging, physical performance, body composition, waist-to-hip ratio, waist-to-height ratio, chair-stand test

To learn more about the journal, please visit our website at https://www.Aging-US.com​​ and connect with us on social media at:

Facebook - https://www.facebook.com/AgingUS/
X - https://twitter.com/AgingJrnl
Instagram - https://www.instagram.com/agingjrnl/
YouTube - https://www.youtube.com/@AgingJournal
LinkedIn - https://www.linkedin.com/company/aging/
Bluesky - https://bsky.app/profile/aging-us.bsky.social
Pinterest - https://www.pinterest.com/AgingUS/
Spotify - https://open.spotify.com/show/1X4HQQgegjReaf6Mozn6Mc

MEDIA@IMPACTJOURNALS.COM