Listen

Description

Scientists studying ecological and embodied cognition try to use algorithms as little as they can. Instead, they favor dynamical systems, typically represented as a set of equations that share variables in a way that is somewhat looplike: component A changes, which changes component B, which changes component A, and so on. Peculiarities of behavior can be explained as such systems reaching stable states. This episode describes two sets of equations that predict surprising properties of what seems to be intelligent behavior.

Source:

Either mentioned or came thisclose to being mentioned

Credits

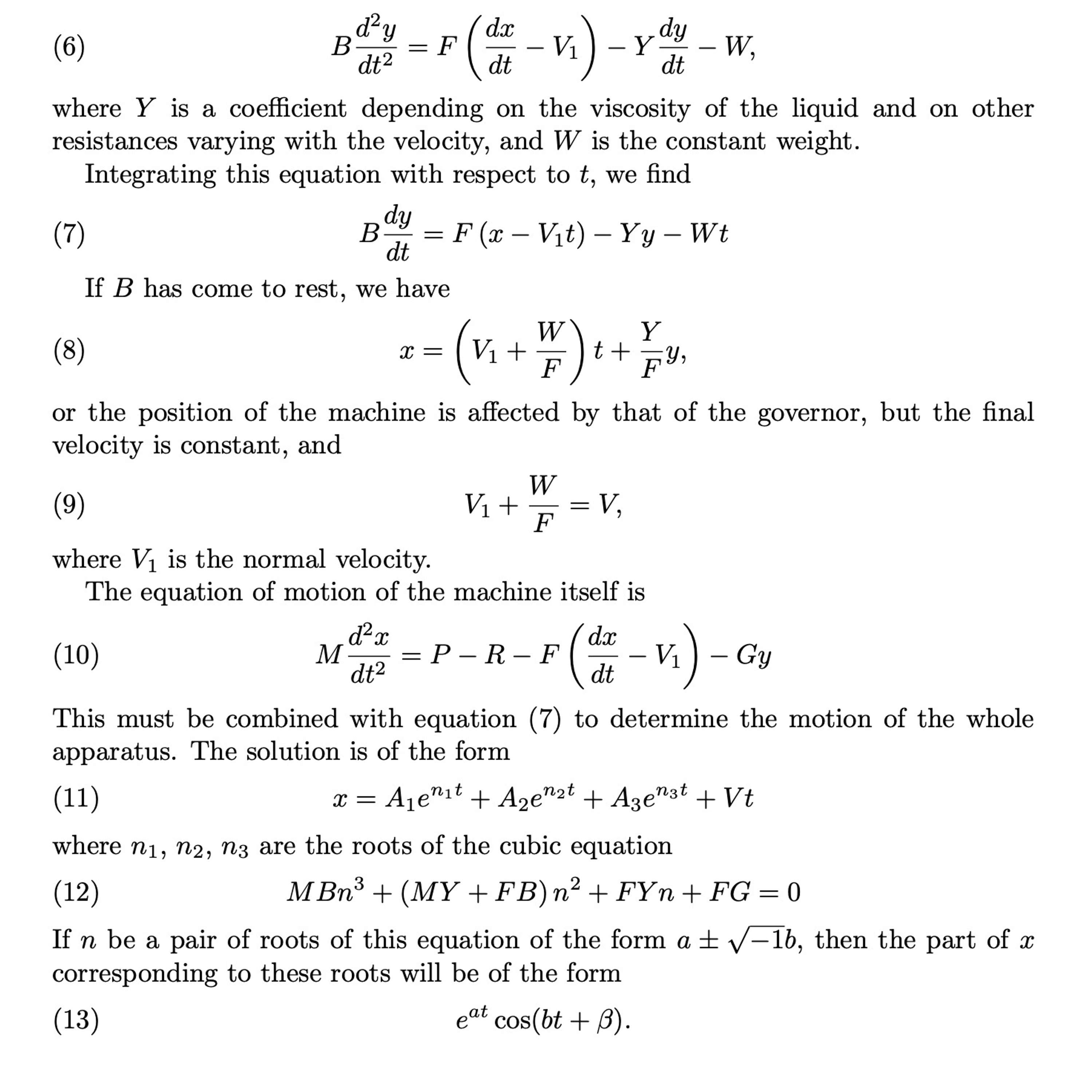
The image is from Maxwell's "On Governors", showing the sort of equations "EEs" work with instead of code.